Marabahan, ,kalselpos.com – Guna memastikan stabilitas harga bahan pokok (bapok) di pasaran, Dinas Koperasi, Perindustrian dan Perdagangan (Diskoperindag) Kabupaten Barito Kuala (Batola) kembali melakukan pengecekan pangan kebutuhan masyarakat dipasaran, termasuk kelancaran distribusi.
“Kami dari satgas Diskoperindag kembali melaksanakan pengecekan bahan pokok di pasaran, termasuk kelancaran distribusi pasokan barang ke pasar-pasar, khususnya pasar tradisional yang ada di Kota Marabahan,” ungkap Kadis Diskoperindag, M. Wahyu Adibawono melalui
Kabid Perdagangan, Surono, S.Sos, kemarin.
Disampaikannya, pengecekan harga dan kelancaran pendistribusian pasokan tersebut melibatkan sejumlah staf Diskoperindag.
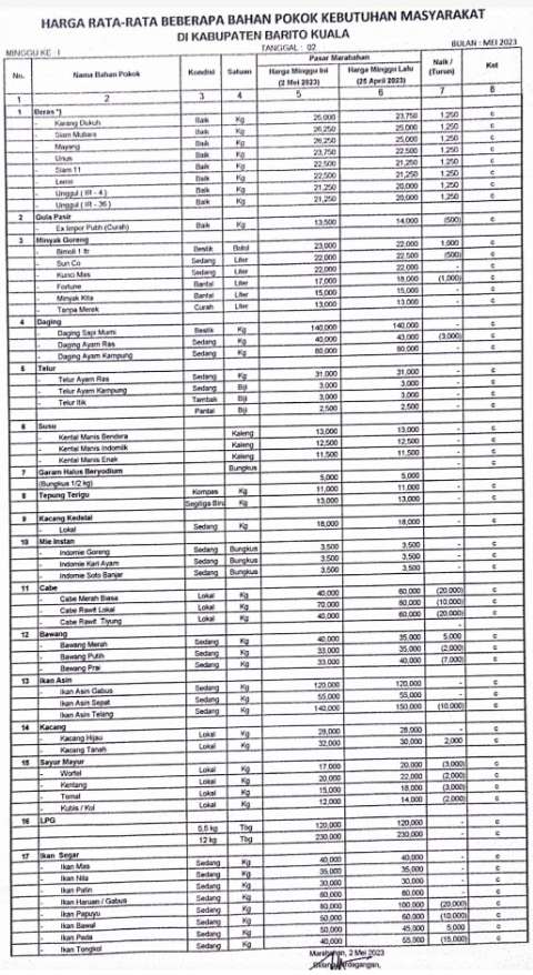
Berdasarkan hasil pengecekan, sejumlah harga bapok di pasaran sepekan pasca lebaran mulai dari beras, minyak goreng, gula pasir, daging sapi, daging ayam, telur ayam, susu, garam, kacang kedelai, mie instan, cabe, bawang, ikan asin, ikan segar, sayur mayur dan gas LPG terpantau belum stabil.
“Ada beberapa harga bahan pokok yang mengalami kenaikan harga, walaupun kenaikannya tidak signifikan, namun ada pula yang alami penurunan, untuk stok barang dan distribusi juga masih aman dan tidak ada kendala,” ujar Surono.
Baca berita kalselpos lainnya, silahkan download Aplikasi Kalselpos.com di play store





